ENERGIZE is a mobile game concept. We built an app prototype for Android und went through the whole process of designing the game, the app architecture, screen flows and graphics, as well as the development of the front-end and back-end of the app.
My main tasks were the front-end development of the Android app, and designing the screen flow charts and mock-ups for a great user-experience.
Die Welt ist ein Netzwerk, wer das Netzwerk kontrolliert, kontrolliert die Welt. Dein Einsatz wird alles entscheiden!
Tagline ENERGIZE
01 Concept of the Game
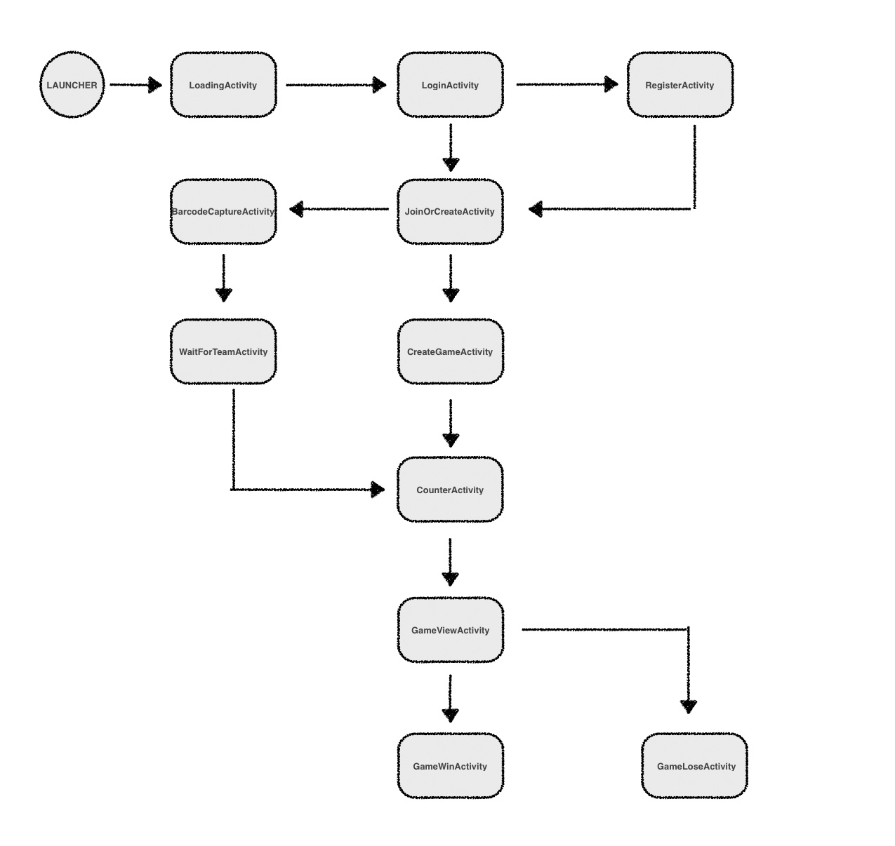
The following video and graphics give an impression of the user-experience and game design of ENERGIZE.
ENERGIZE_Endanwenderdokumentation_V5
02 Screen Flow













